Type III Compensator Design for Power Converters
Find a downloadable version of this story in pdf format at the end of the story.
Type II compensators are widely used in the control loops for power converters. However, there are cases where the phase lag of a power converter can approach 180 degrees, while the maximal phase from a type II compensator at any frequencies is at most zero degree. Thus in these cases, the type II compensator cannot provide enough phase margin to keep the loop stable, and this is where a type III compensator is needed. A type III compensator can have a phase plot going above zero degree at some frequencies, and therefore it can provide the required phase boost to maintain a reasonable phase margin.
Although the concept of the type III compensator has been around for years, an in-depth analysis on the compensator is not easy to find. There are some design procedures described in the literature [1,2,3,4]. However, these procedures are usually empirically derived, and the derivation processes are not provided, which make it difficult to follow and evaluate these procedures.
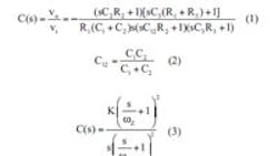
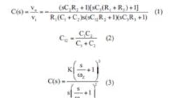
An analog implementation of type III compensators is shown in Fig. 1, where six passive circuit components are needed. The transfer function of the Type III compensator in Fig. 1. is given by:
where C12 is the parallel combination of C1 and C2,
The Type III compensator has three poles (one at the origin) and two zeros. In practice, it is usually arranged to have two coincident zeros and two coincident poles, and the loop crossover frequency is placed somewhere between the zeros and poles. For this kind of design, the transfer function in Equation (1) can be rewritten as:
where the zero's and pole's frequencies are given by:
and the constant gain K is given by:
The amplitude of the transfer function in Equation (3) at a given frequency ω can be calculated as:
The phase of the transfer function in Equation (3) at a given frequency ω can be calculated as:
As can be seen, the phase of C(jω) has two parts: a constant part of -π/2 due to the pole at the origin, and a variable part as a function of frequency ω given by:
Equation (8) can be converted to:
Continue on next page
Equation (9) has a useful feature in that the function reaches its maximum value somewhere between ωz and ωp. This can be shown as follows. Note that the inverse tangent function is monotonically increasing. Therefore, to find the maximum value of Φv(ω), we can first search for the maximum of the following function:
The maximum value of F(ω) can be found through its derivative, which is calculated as:
Based on Equation (11), you find that F(ω), and hence Φv(ω), reaches their maximum values at the frequency defined by:
Equation (12) says that the maximum phase of Φv(ω) occurs at the geometric mean of ωz and ωp. Here, we call ωm the maximum phase frequency of a type III compensator. By substituting Equation (12) into (9), you get the maximum phase of Φv(ω) as:
Define the ratio of the pole's frequency to the zero's frequency as:
From Equation (12) and (14), k can also be defined as:
Then the maximum phase of Φv(ω) can be written as:
And the maximum phase of the type III compensator is given by:
Note that k is a measure on the distance between the zero and pole, and hence we call it separation factor. With Equation (17), you can calculate the maximum phase boost of the type III compensator for a given separation factor, or vise versa.
The maximum value of an inverse tangent function is 90°. Base on Equation (17), the maximum phase boost from a type III compensator is 90°. Fig. 2 shows the maximum phase of a type III compensator vs. the separation factor. As can be seen, the phase increases quickly when the separation factor k is small, and it becomes more and more flat as the factor goes high. Thus, in the low range of k, it is more effective to adjust the phase boost from a type III compensator by changing the separation factor. It is worth to note that there is a range for the separation factor where the phase of the type III compensator is negative. Since the main purpose of using a type III compensator is to boost the control loopís phase, it is useful for the designer to know the value of the separation factor at which the phase is zero. From Equation (17) you can find that the phase is zero when the inverse tangent function meets:
Continue on next page
From Equation (18) we can see that k needs to meet:
By solving Equation (19), we get the value of k that gives zero phase boost for a type III compensator:
As a rule of thump, the separation factor of a type III compensator should be larger than 6 in order to provide a positive phase boost to the loop.
DESIGN PROCEDURES
Procedure I
With Procedure I, you place the loop crossover frequency (ωc) at ωm, and in this way you can reach the maximal loop phase margin with a given separation factor. In the following, a design procedure is derived to achieve this design goal.
Let the control plant's gain and phase at ωc be Gp and Φp, and the desired phase margin be Φm. To meet the phase margin requirement, we should have:
Thus, we can get the phase Φv(ωc) as follows:
Since we have chosen ωc =ωm, thus from Equation (16) and (22) we get:
Or equivalently, we have:
where b is defined by:
Define:
Then, from Equation (24) we get the following quadratic equation in terms of x:
The solutions to Equation (27) are given by:
Continue on next page
From Equation (26) you can see that x is positive, therefore the solution we need is given by:
Given ωm and k, we can get the zero ωz and pole ωp based on Equation (15):
From Equation (6), we can get the compensator's gain at the crossover frequency, ωc = ωm:
At the crossover frequency ωc, the loop gain is equal to 1, that is:
From Equation (32) we get:
As shown in [2] and [3], the design of a type III compensator usually starts with choosing a value for R1. With R1 chosen, the rest components values can be calculated as follows.
From Equation (5), we get:
Equation (4) is equivalent to the following four equations:
Equations (34) to (38) are the five equations that we need to determine the componentsí values R2, R3, C1, C2 and C3.
By subtracting Equation (37) from Equation (36), we get the value of C3:
From Equation (35) we have:
Equation (38) can be rewritten as:
By Substituting Equation (34) and Equation (40) into Equation (41), we get:
From Equation (42), we get the solution for C1:
From Equation (34), we get the solution for C2:
Continue on next page
Now that we have determined the values for all of the capacitors. The resistor values can be obtained from Equation (37) and Equation (38):
Summarizing Procedure 1 for the Type III compensator, we find that:
Given desired crossover frequency ωc and phase margin Φm, and the control plant's gain and phase at ωc as Gp and Φp.
- Calculate the tangent value b using:
- Calculate the zero and pole separation factor k:
- Calculate the zero's and pole's frequency:
- Calculate the compensator's gain K:
- Select a resistor value for R1.
- Calculate C3:
- Calculate C1:
- Calculate C2:
- Calculate R2:
- Calculate R3:
- Verify the calculated compensator's values and frequency response.
- Check the closed loop's frequency response.
Procedure II
A type III compensator is usually used for the control plant that has a big phase lag around the loop crossover frequency range. For this type of plants, the control loop may end up to be conditionally stable, which is not desired in some applications. In the following, a design procedure is derived which takes unconditional stability into consideration.
A conditionally stable loop is the one whose phase plot goes more negative than -180°, but comes back above -180° again before the crossover frequency. This occurs usually around the frequency where the plant has the maximum phase lag. We name this frequency as ωmp.
To make the loop unconditionally stable, some phase boost is needed at ωmp. On the other hand, to make the loop stable, a certain amount of phase boost is also needed at the crossover frequency ωc. To meet these requirements, one can place the maximum phase frequency ωm (defined by Equation 12) somewhere between ωmp and ωc. The placement of ωm can be described by the following:
where ∝is a number to be determined.
At the logarithmically scaled frequency axis, the geometric mean of ωmp and ωc has an equal distance to ωmp and ωc, as shown in Fig. 3. You can see that if ∝ < 1, then ωm is closer to ωmp than to ωc. On the other hand, if ∝> 1, then ωm is closer to ωc than to ωmp. Therefore, you can use ∝ to adjust the location of the maximum phase point of a type III compensator, and by taking a trial-and-error search on ∝, you can eventually find the proper location of ωm that meets both of the phase margin and unconditional stability requirements.
As soon as ωm has been selected, the type III compensator can be calculated as follows. Given the control plant's gain and phase at ωc: Gp and Φp, and the desired phase margin Φm. Also given the frequency ωmp at which the plant has the maximum phase lag. At the crossover frequency, based on Equation (9) we have:
To meet the phase margin requirement, we need to satisfy Equation (22), which in turn leads to:
Or, equivalently:
Continue on next page
Based on Equation (12) and Equation (59) we can get the following two equations about ωp and ωz:
where ωd is defined by:
Note that ωd is known with the given parameters Φm, Φp, and ωp, and the selected frequency ωc.
We can solve Equation (60) and (61) and get the compensator's zero and pole frequencies:
The separation factor can be calculated as:
With ωz, ωp and k determined based on the above equations, the compensator's components can be determined in the same way as in Procedure I. The design procedure that accounts for unconditional stability is summarized below.
Given desired crossover frequency ωc and phase margin Φm, and the control plant's gain and phase at ωc as Gp and ωp. Also given the frequency ωmp at which the plant has the maximum phase lag.
Based on Equation (56) determine the compensator's maximum phase frequency by choosing a value for ∝. Usually you can start with ∝ =1, and adjust it based on the loop's Bode plot resulted from the design procedure.
-
Calculate the difference between the zero's frequency and pole's frequency using Equation (62).
-
Calculate the zero's frequency ωz and pole's frequency ωp using Equation (63) and Equation (64).
-
Calculate the separation factor k using Equation (65).
-
From Equation (6) we have
At the crossover frequency:
Thus, we can calculate the compensator's constant gain K as:
With K determined, one can follow the steps 5 through 12 in Procedure I to finish the design.
The synchronous dc-to-dc converter shown in Fig. 4 [2] will be used an example for applying the design procedures. In [2], the target bandwidth is set to 90kHz, and the phase margin is required to be larger than 45°. Here, the same bandwidth is targeted, and the phase margin is targeted at 60°. From Fig. 4, one can find that at 90kHz, the plant's gain is -29.14dB or 0.0349, and the phase is -109.1°.
First, Procedure I will be used to calculate the compensator. With this approach, we place the compensator's maximum phase boost frequency at the target crossover frequency, that is, ωm=2×π×90×103rad/s. By choosing R1 = 2kΩ and following the procedure, we get the following component values:
R1 = 2kΩ
R2 = 34.7kΩ
R3 = 571Ω,
C1 = 31pF
C2 = 108pF
C3 = 1.5nF
Fig. 5. shows the compensator's and the resulting loop's Bode plots. The separation factor is 4.5 and the phase plot of the compensator is under zero degree as shown in Fig. 5. The loop bandwidth is 90kHz and phase margin is 60°. However, the phase plot goes more negative than -180°, thus making the loop only conditionally stable.
Utilizing Procedure II, the first step is to locate the compensator's maximum phase boost frequency. From Fig. 4, the maximum phase lag frequency is about 9kHz. Thus, ωm should be somewhere between 9kHz and 90kHz. Based on Equation (56), it was found that with ∝=0.7 we can get a good unconditionally stable control loop. With this value of ∝, the following component values result:.
R1 = 10kΩ
R2 = 30.4kΩ
R3 = 568Ω,
C1 = 66pF
C2 = 1.2nF
C3 = 3.4nF
Fig. 6. shows the resulting loop's Bode plots. As you can see, the loop in Fig. 6 is unconditionally stable, as opposed to that in Fig. 5.
REFERENCES
-
Venable Technical Paper #3, Optimum feedback amplifier design for control systems.
-
Intersil Technical Brief TB417.1 by Doug Mattingly, Designing stable compensation networks for single phase voltage mode Buck regulators, 2003.
-
Sipex Application Note 16, Loop compensation of voltage-mode buck converters, 2006.
-
Keng Wu, Switch-mode power converters, design and analysis, Academic Press, 2006.
Download the story in pdf format here.
